BusphotoBUSPHOTO

Picture Statistics

189 KB


Picture ID:797451
File Size:189 KB
Author:BusfotosAustria
Publication Date:13.08.2025 01:08 EET
Days in Database:172
Unique views:61
Comments:0

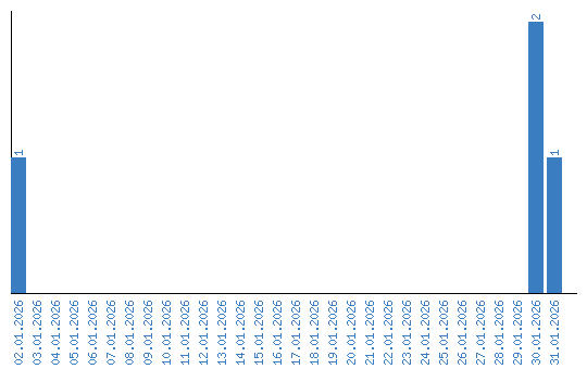
Viewing statistics by date