BusphotoBUSPHOTO

Picture Statistics

2400 KB


Picture ID:797916
File Size:2400 KB
Author:korubin
Publication Date:13.08.2025 22:58 EET
Days in Database:135
Unique views:237
Comments:0

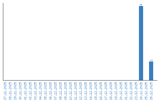
Viewing statistics by date