BusphotoBUSPHOTO

Picture Statistics

510 KB


Picture ID:79805
File Size:510 KB
Author:kr0t
Publication Date:22.06.2013 12:17 EET
Days in Database:4570
Unique views:293
Comments:0

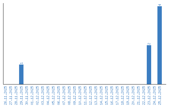
Viewing statistics by date