BusphotoBUSPHOTO

Picture Statistics

11392 KB


Picture ID:801734
File Size:11392 KB
Author:Const
Publication Date:22.08.2025 17:36 EET
Days in Database:183
Unique views:73
Comments:0

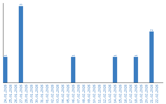
Viewing statistics by date