BusphotoBUSPHOTO

Picture Statistics

387 KB


Picture ID:806017
File Size:387 KB
Author:ToBen
Publication Date:02.09.2025 21:58 EET
Days in Database:163
Unique views:53
Comments:0

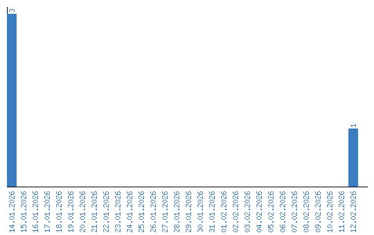
Viewing statistics by date