BusphotoBUSPHOTO

Iнфармацыя аб малюнку

5167 КБ


Ідэнтыфікатар малюнка:806450
Памер файла:5167 КБ
Аўтар:ToBen
Апублікавана:03.09.2025 12:28 EET
Знаходзіцца на сайце, дзён:147
Унікальных праглядаў:110
Каментароў:0

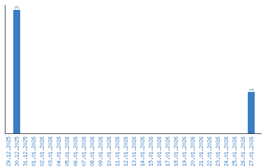
Дынаміка праглядаў па датах