BusphotoBUSPHOTO

Picture Statistics

302 KB


Picture ID:807179
File Size:302 KB
Author:ToBen
Publication Date:04.09.2025 12:47 EET
Days in Database:130
Unique views:44
Comments:0

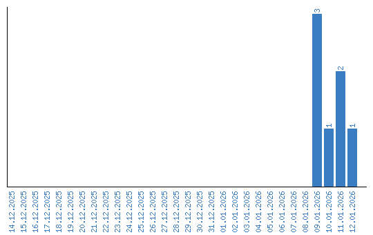
Viewing statistics by date