BusphotoBUSPHOTO

Picture Statistics

390 KB


Picture ID:807268
File Size:390 KB
Author:ToBen
Publication Date:04.09.2025 12:51 EET
Days in Database:175
Unique views:96
Comments:0

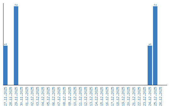
Viewing statistics by date