BusfotoBUSFOTO

Bildinformationen

5566 KB


Foto-ID:808678
Dateigröße:5566 KB
Aufgenommen von:_Tramwajooo_
Veröffentlicht am:07.09.2025 22:38 EET
Tage seit Veröffentlichung:171
Aufrufe:108
Kommentare:0

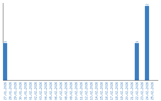
Aufrufestatistik (Tage)