BusphotoBUSPHOTO

Picture Statistics

5003 KB


Picture ID:809171
File Size:5003 KB
Fotografato da:Kot78
Publication Date:09.09.2025 01:24 EET
Days in Database:144
Unique views:73
Comments:0

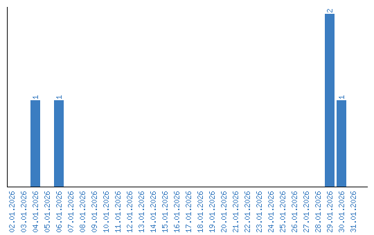
Viewing statistics by date