BusphotoBUSPHOTO.EU

Statystyki zdjęcia

6349 kB


Identyfikator zdjęcia:812579
Rozmiar pliku:6349 kB
Autor:14sb14ck
Data publikacji:17.09.2025 22:08 EET
Liczba wyświetleń dzisiaj:148
Łączna ilość wyświetleń:125
Komentarze:0

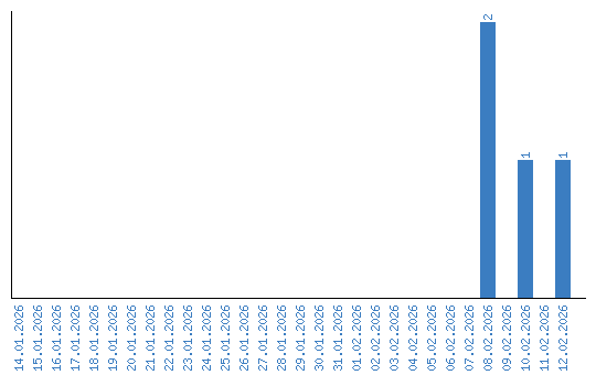
Liczba oglądających według dat