BusphotoBUSPHOTO

Picture Statistics

4211 KB


Picture ID:813550
File Size:4211 KB
Author:Mezzi Di Trasporto Channel (Samuele Furia)
Publication Date:19.09.2025 22:27 EET
Days in Database:146
Unique views:116
Comments:0

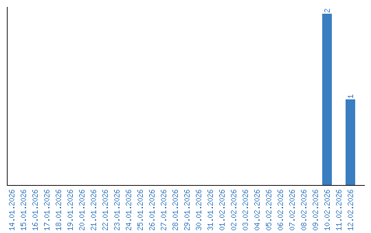
Viewing statistics by date