BusphotoBUSPHOTO

Picture Statistics

7304 KB


Picture ID:814249
File Size:7304 KB
Author:busspotting_sha
Publication Date:21.09.2025 16:41 EET
Days in Database:95
Unique views:135
Comments:0

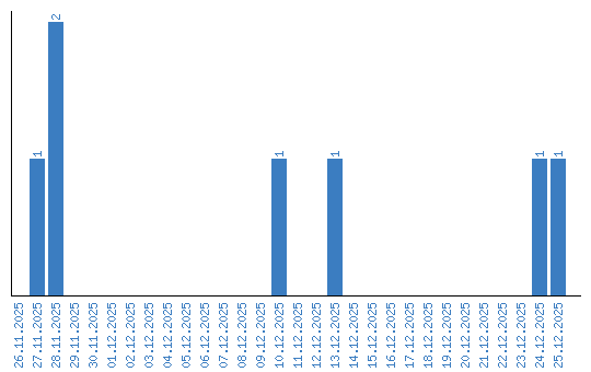
Viewing statistics by date