BusphotoBUSPHOTO

Picture Statistics

6514 KB


Picture ID:814458
File Size:6514 KB
Author:Mezzi Di Trasporto Channel (Samuele Furia)
Publication Date:21.09.2025 23:05 EET
Days in Database:95
Unique views:170
Comments:0

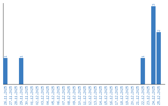
Viewing statistics by date