BusphotoBUSPHOTO

Picture Statistics

170 KB


Picture ID:815209
File Size:170 KB
Author:Kiira
Publication Date:24.09.2025 14:34 EET
Days in Database:92
Unique views:122
Comments:0

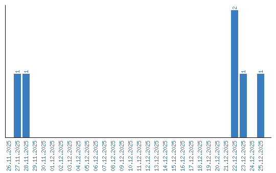
Viewing statistics by date