BusphotoBUSPHOTO

Picture Statistics

386 KB


Picture ID:817054
File Size:386 KB
Author:T131
Publication Date:28.09.2025 23:09 EET
Days in Database:88
Unique views:152
Comments:0

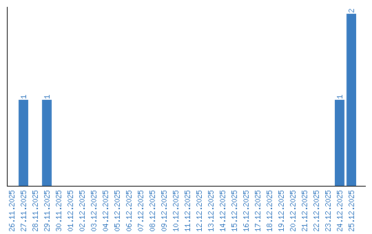
Viewing statistics by date