BusphotoBUSPHOTO

Picture Statistics

402 KB


Picture ID:818247
File Size:402 KB
Author:POP
Publication Date:01.10.2025 21:08 EET
Days in Database:85
Unique views:179
Comments:0

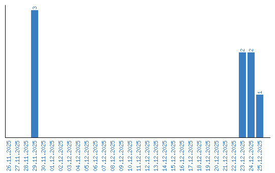
Viewing statistics by date