BusphotoBUSPHOTO

Picture Statistics

308 KB


Picture ID:823116
File Size:308 KB
Autorul:POP
Publication Date:11.10.2025 22:28 EET
Days in Database:138
Unique views:203
Comments:0

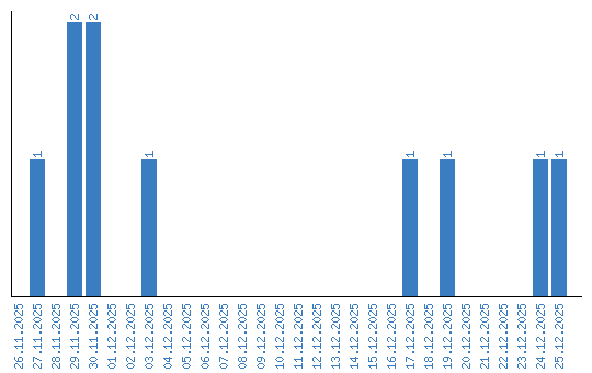
Viewing statistics by date