BusfotoBUSFOTO

Bildinformationen

2938 KB


Foto-ID:823533
Dateigröße:2938 KB
Aufgenommen von:S. Franke
Veröffentlicht am:12.10.2025 14:19 EET
Tage seit Veröffentlichung:108
Aufrufe:112
Kommentare:0

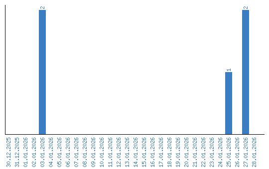
Aufrufestatistik (Tage)