BusphotoBUSPHOTO

Picture Statistics

417 KB


Picture ID:823894
File Size:417 KB
Autorul:ernelia_transport
Publication Date:12.10.2025 21:00 EET
Days in Database:74
Unique views:112
Comments:0

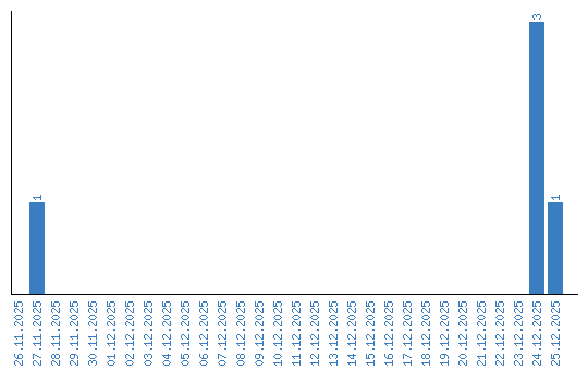
Viewing statistics by date