BusphotoBUSPHOTO

Picture Statistics

279 KB


Picture ID:826405
File Size:279 KB
Author:Артём Дмитренко
Publication Date:18.10.2025 20:59 EET
Days in Database:69
Unique views:98
Comments:0

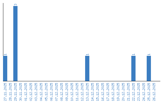
Viewing statistics by date