BusphotoBUSPHOTO

Iнфармацыя аб малюнку

6214 КБ


Ідэнтыфікатар малюнка:829973
Памер файла:6214 КБ
Аўтар:ABelHom
Апублікавана:26.10.2025 19:10 EET
Знаходзіцца на сайце, дзён:118
Унікальных праглядаў:114
Каментароў:0

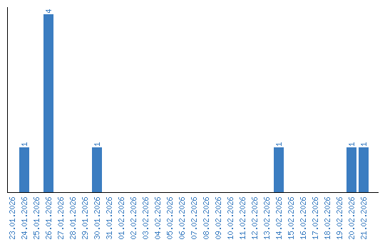
Дынаміка праглядаў па датах