BusphotoBUSPHOTO

Picture Statistics

5390 KB


Picture ID:831615
File Size:5390 KB
Author:BayLov-D
Publication Date:30.10.2025 11:05 EET
Days in Database:116
Unique views:157
Comments:0

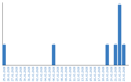
Viewing statistics by date