BusphotoBUSPHOTO

Picture Statistics

374 KB


Picture ID:831820
File Size:374 KB
Author:POP
Publication Date:30.10.2025 20:06 EET
Days in Database:56
Unique views:34
Comments:0

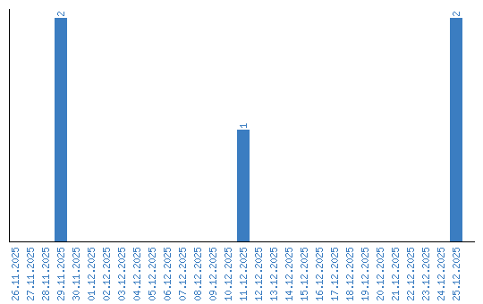
Viewing statistics by date