BusphotoBUSPHOTO

Picture Statistics

2020 KB


Picture ID:832455
File Size:2020 KB
Author:German Perfectionist
Publication Date:01.11.2025 13:53 EET
Days in Database:100
Unique views:167
Comments:0

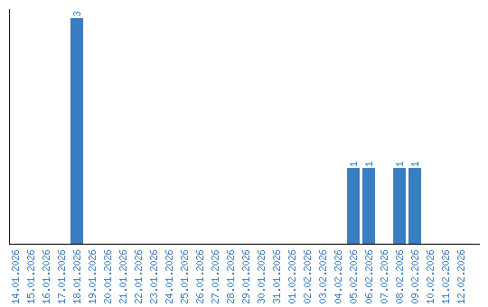
Viewing statistics by date