BusphotoBUSPHOTO

Picture Statistics

2180 KB


Picture ID:833786
File Size:2180 KB
Author:German Perfectionist
Publication Date:02.11.2025 18:51 EET
Days in Database:54
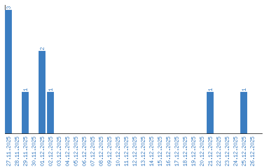
Unique views:112
Comments:0

Viewing statistics by date