BusphotoBUSPHOTO

Picture Statistics

3904 KB


Picture ID:835046
File Size:3904 KB
Autorul:Mezzi Di Trasporto Channel (Samuele Furia)
Publication Date:05.11.2025 18:11 EET
Days in Database:87
Unique views:164
Comments:0

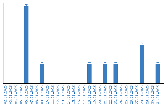
Viewing statistics by date