BusphotoBUSPHOTO

Picture Statistics

286 KB


Picture ID:836677
File Size:286 KB
Author:Артём Дмитренко
Publication Date:08.11.2025 19:13 EET
Days in Database:93
Unique views:123
Comments:0

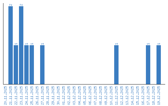
Viewing statistics by date