BusphotoBUSPHOTO

Picture Statistics

93 KB


Picture ID:836796
File Size:93 KB
Fotografato da:domin10T10
Publication Date:08.11.2025 22:06 EET
Days in Database:47
Unique views:76
Comments:0

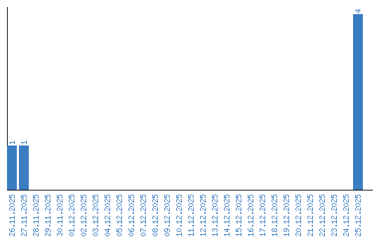
Viewing statistics by date