BusphotoBUSPHOTO

Picture Statistics

288 KB


Picture ID:837369
File Size:288 KB
Author:rostik
Publication Date:09.11.2025 20:43 EET
Days in Database:64
Unique views:94
Comments:0

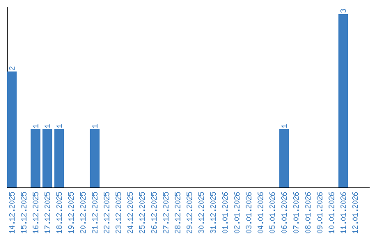
Viewing statistics by date