BusphotoBUSPHOTO

Picture Statistics

3616 KB


Picture ID:839566
File Size:3616 KB
Author:Danielel
Publication Date:14.11.2025 21:30 EET
Days in Database:90
Unique views:336
Comments:0

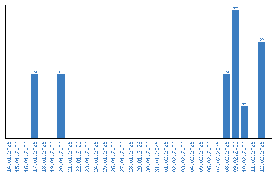
Viewing statistics by date