BusphotoBUSPHOTO

Picture Statistics

418 KB


Picture ID:84148
File Size:418 KB
Author:Влад Попов
Publication Date:05.08.2013 22:54 EET
Days in Database:4525
Unique views:166
Comments:0

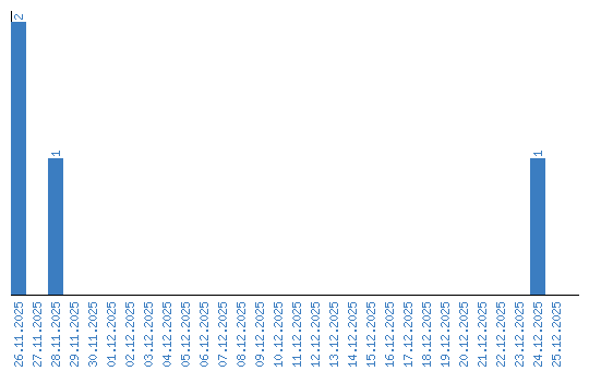
Viewing statistics by date