BusphotoBUSPHOTO

Picture Statistics

132 KB


Picture ID:84563
File Size:132 KB
Author:Мартин
Publication Date:09.08.2013 19:35 EET
Days in Database:4522
Unique views:308
Comments:0

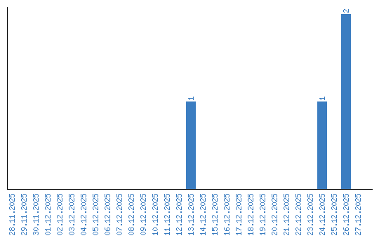
Viewing statistics by date