BusphotoBUSPHOTO

Picture Statistics

391 KB


Picture ID:8472
File Size:391 KB
Author:Максим Наумов
Publication Date:17.06.2011 13:43 EET
Days in Database:5373
Unique views:355
Comments:0

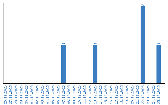
Viewing statistics by date