BusphotoBUSPHOTO

Picture Statistics

695 KB


Picture ID:854958
File Size:695 KB
Author:Ashark94
Publication Date:24.12.2025 18:15 EET
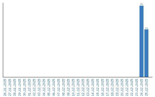
Days in Database:1
Unique views:6
Comments:0

Viewing statistics by date