BusphotoBUSPHOTO

Iнфармацыя аб малюнку

494 КБ


Ідэнтыфікатар малюнка:88447
Памер файла:494 КБ
Аўтар:Николай Кулаков
Апублікавана:17.09.2013 18:50 EET
Знаходзіцца на сайце, дзён:4529
Унікальных праглядаў:358
Каментароў:0

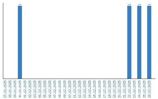
Дынаміка праглядаў па датах