BusphotoBUSPHOTO

Picture Statistics

308 KB


Picture ID:91904
File Size:308 KB
Author:Tanel Vooglaid
Publication Date:21.10.2013 13:46 EET
Days in Database:4477
Unique views:296
Comments:0

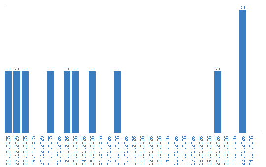
Viewing statistics by date