BusphotoBUSPHOTO

Picture Statistics

495 KB


Picture ID:93186
File Size:495 KB
Autorul:ДЕД АНДРЕЙ
Publication Date:04.11.2013 18:12 EET
Days in Database:4452
Unique views:423
Comments:0

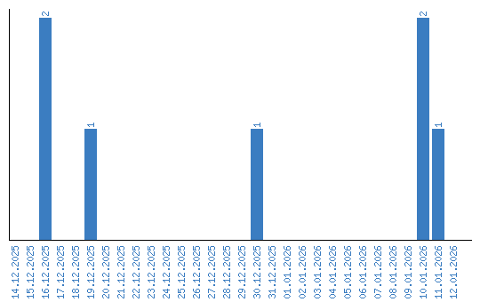
Viewing statistics by date