BusphotoBUSPHOTO

Picture Statistics

461 KB


Picture ID:94038
File Size:461 KB
Author:Серёга
Publication Date:16.11.2013 16:33 EET
Days in Database:4422
Unique views:271
Comments:0

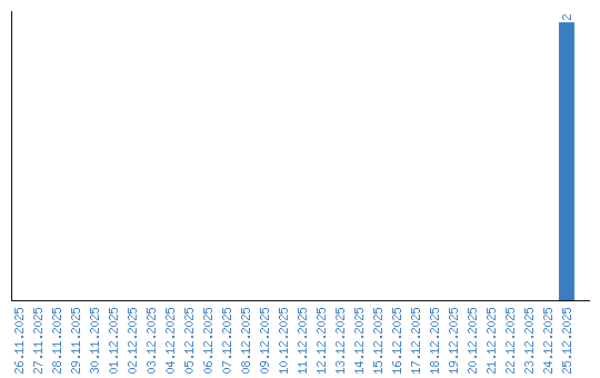
Viewing statistics by date