BusphotoBUSPHOTO

Picture Statistics

489 KB


Picture ID:96198
File Size:489 KB
Author:Lord Byron
Publication Date:16.12.2013 22:56 EET
Days in Database:4392
Unique views:324
Comments:0

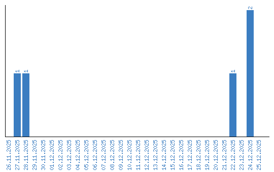
Viewing statistics by date