BusphotoBUSPHOTO

Picture Statistics

283 KB


Picture ID:96239
File Size:283 KB
Author:olegp
Publication Date:17.12.2013 20:25 EET
Days in Database:4428
Unique views:197
Comments:1

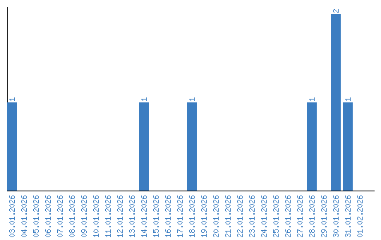
Viewing statistics by date