BusphotoBUSPHOTO

Štatistika obrázku

450 kB


Identifikátor obrázku:98551
Veľkosť súboru:450 kB
Autor:Азат Ахтямов
Zverejnené:19.01.2014 14:04 EET
Nachádza sa na stránkach (dní):4385
Jednotlivých zhliadnutí:153
Komentárov:0

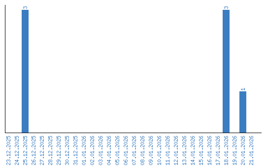
Zobrazenia po jednotlivých dňoch