BusphotoBUSPHOTO

Picture Statistics

170 KB


Picture ID:99500
File Size:170 KB
Author:Serega0079208
Publication Date:02.02.2014 20:28 EET
Days in Database:4325
Unique views:213
Comments:0

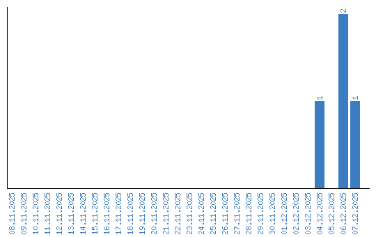
Viewing statistics by date